
معادلات ریاضی ابزاری قدرتمند برای انتقال مفاهیم پیچیده با وضوح و دقت هستند. با گنجاندن معادلات در اسلایدهای پاورپوینت PPT خود، می توانید روابط ریاضی، اصول علمی و غیره را به صورت بصری نمایش دهید. در این راهنما، هنر ساخت و افزودن معادلات ریاضی در اسلایدهای پاورپوینت PPT در سی شارپ را بررسی خواهیم کرد.
- کتابخانه سی شارپ برای ایجاد معادلات ریاضی در PPT
- ایجاد یک معادله ریاضی در اسلاید PPT
- ویرایشگر آنلاین پاورپوینت
کتابخانه سی شارپ برای ایجاد معادلات ریاضی در PPT
برای ایجاد و افزودن فرمول های ریاضی در اسلایدهای پاورپوینت PPT، از Aspose.Slides for .NET استفاده می کنیم. این یک کتابخانه C# شناخته شده برای ایجاد و کار با ارائه های پاورپوینت از داخل برنامه های NET است. میتوانید کتابخانه را دانلود یا از NuGet نصب کنید.
PM> Install-Package Aspose.Slides.NET
ایجاد یک معادله ریاضی در پاورپوینت PPT در سی شارپ
در پاورپوینت می توانید معادلات یا فرمول های ریاضی را با استفاده از نمادهای ریاضی خاص بنویسید که می توانند به متن یا معادله شما اضافه شوند. این کار با استفاده از ابزار معادلات ریاضی در پاورپوینت انجام می شود که به شما امکان می دهد فرمول های پیچیده ایجاد کنید، از جمله:
- کسر ریاضی
- رادیکال ریاضی
- تابع ریاضی
- محدودیت ها و توابع ورود به سیستم
- عملیات N-ary
- ماتریس
- اپراتورهای بزرگ
- توابع Sin، cos
درک ساختار معادلات ریاضی
عناصر ریاضی بلوک های سازنده برای ایجاد ساختارهای ریاضی با سطوح مختلف پیچیدگی هستند. گروهی از این عناصر با هم MathBlock نامیده می شوند که بیانگر یک عبارت، فرمول یا معادله ریاضی جداگانه است. MathPortion بخشی است که برای ذخیره متن ریاضی استفاده می شود. کلاس MathParagraph به مدیریت مجموعه ای از بلوک های ریاضی کمک می کند. این کلاس ها برای کار با معادلات ریاضی پاورپوینت با استفاده از Aspose.Slides ضروری هستند.
فرموله کردن معادله ریاضی
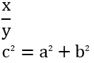
به عنوان مثال، اجازه دهید معادله ریاضی زیر را در یک ارائه PPT با استفاده از C# ایجاد کنیم.

در زیر مراحل و بخش هایی از کد وجود دارد که برای ایجاد معادله ریاضی فوق می نویسیم.
- ابتدا یک شکل ریاضی اضافه کنید که حاوی متن ریاضی اسلاید PPT باشد.
using (Presentation pres = new Presentation())
{
var mathShape = pres.Slides[0].Shapes.AddMathShape(0, 0, 720, 150);
}
- شکل به طور پیش فرض یک پاراگراف با یک بخش ریاضی در آن خواهد داشت. کلاس MathPortion به عنوان یک محفظه برای متن ریاضی عمل می کند و برای دسترسی به محتوای ریاضی داخل MathPortion از متغیر MathPargraph استفاده می کنیم.
var mathParagraph = (mathShape.TextFrame.Paragraphs[0].Portions[0] as MathPortion).MathParagraph;
- کلاس MathParagraph به شما امکان می دهد بلوک های ریاضی (MathBlock) را بخوانید، اضافه کنید، ویرایش کنید و حذف کنید که از ترکیبی از عناصر ریاضی تشکیل شده است. به عنوان مثال، به این صورت است که می توانیم یک کسری ایجاد کنیم و آن را به بلوک ریاضی اضافه کنیم:
var fraction = new MathematicalText("x").Divide("y");
mathParagraph.Add(new MathBlock(fraction));
- هر عنصر ریاضی توسط یک کلاس نشان داده می شود که رابط IMathElement را پیاده سازی می کند. این رابط روش های متعددی را برای ساخت بی دردسر عبارات ریاضی ارائه می دهد. تنها با استفاده از یک خط کد، می توان یک عبارت پیچیده ریاضی ساخت. به عنوان مثال، قضیه فیثاغورث را می توان به صورت زیر بیان کرد.
var mathBlock = new MathematicalText("c")
.SetSuperscript("2")
.Join("=")
.Join(new MathematicalText("a").SetSuperscript("2"))
.Join("+")
.Join(new MathematicalText("b").SetSuperscript("2"));
در زیر کد منبع کامل سی شارپ برای ایجاد یک معادله ریاضی در پاورپوینت PPT آمده است.
using (Presentation pres = new Presentation())
{
IAutoShape mathShape = pres.Slides[0].Shapes.AddMathShape(0, 0, 720, 150);
var mathParagraph = (mathShape.TextFrame.Paragraphs[0].Portions[0] as MathPortion).MathParagraph;
var fraction = new MathematicalText("x").Divide("y");
mathParagraph.Add(new MathBlock(fraction));
var mathBlock = new MathematicalText("c")
.SetSuperscript("2")
.Join("=")
.Join(new MathematicalText("a").SetSuperscript("2"))
.Join("+")
.Join(new MathematicalText("b").SetSuperscript("2"));
mathParagraph.Add(mathBlock);
pres.Save("math.pptx", SaveFormat.Pptx);
}
پاورپوینت معادلات ریاضی - ادامه مطلب
درباره ساخت معادلات ریاضی در پاورپوینت PPT از مستندات بیشتر بخوانید.
فرمول های ریاضی پاورپوینت را به صورت رایگان ایجاد کنید
از Aspose.Slides برای جاوا استفاده کنید و با دریافت یک [مجوز موقت رایگان]، فرمول های ریاضی را بدون محدودیت ارزیابی ایجاد کنید.
ویرایشگر آنلاین پاورپوینت
از ویرایشگر رایگان پاورپوینت ما برای ایجاد ارائه های PPT به صورت آنلاین استفاده کنید. نیازی به ثبت نام یا ارائه اطلاعات دیگری نیست.
نتیجه
در این مقاله با ساخت و اضافه کردن معادلات ریاضی در ارائه پاورپوینت در سی شارپ آشنا شدید. راهنمای گام به گام و قطعه کد نحوه ایجاد یک معادله و درج در یک اسلاید PPT را نشان می دهد. در نهایت، ما یک ویرایشگر آنلاین رایگان پاورپوینت در اختیار شما قرار داده ایم که می توانید از آن برای ایجاد ارائه های خود استفاده کنید.
میتوانید با مراجعه به مستندات درباره Aspose.Slides برای داتنت بیشتر کاوش کنید. همچنین، میتوانید سؤالات خود را در تالار گفتمان ما ارسال کنید.